Circ-vimentin可能成为急性髓系白血病诊断和预后的生物标志物
急性髓性白血病(AML)是一组高度异质性的由骨髓造血干细胞或祖细胞引起的疾病,其特征是骨髓中异常白细胞的快速增殖和抑制正常造血细胞的生成。 AML是成人中最常见的急性白血病,而且由于不良的诊断方法和治疗方案,临床实践中AML的预后仍然很差。 细胞遗传学异常在AML的发病过程中起重要作用,表观遗传改变和基因异常被证明可以干预白血病的发生发展,影响其预后和治疗。
波形蛋白(VIM)是 III型中间丝的主要成分。波形蛋白是由VIM基因编码的,并且普遍表达在内皮细胞和其他间充质细胞。 VIM在许多重要的生理和病理过程发挥作用,如粘连,迁移,细胞信号传导,炎症,神经突延伸和血管形成。 在包括肺癌、肝癌、乳腺癌、胃肠癌、中枢神经系统癌症、恶性黑色素瘤和造血恶性肿瘤等不同上皮肿瘤中发现了表达水平增加的VIM,可能与肿瘤生长,侵袭和预后不良有关。 Circ-VIM,是由VIM基因产生的circRNA,在这些癌症中很少被研究过,更不用说Circ-VIM 在AML中的相关研究了。 这项研究的目的是调查和分析Circ-VIM在AML患者中的表达情况及探讨其临床相关性和与基因VIM的相关性。

来自江苏大学附属人民医院的邓兆群教授团队于J Cell Physiol在线发表题为“Circular RNA of vimentin expression as a valuable predictor for acute myeloid leukemia development and prognosis”的临床研究,揭示了Circ-VIM的水平与AML病人的WBC数目、更低OS和LFS成正相关,Circ-VIM可作为急性髓系白血病发展程度和预后的理想生物标志物。
- 相比于42名正常健康人,全组112名AML病人的骨髓单核细胞BMNCs的Circ-VIM平均表达水平明显增高,特别是在患有非急性早幼粒细胞白血病(Non-APL)和细胞遗传学正常的CN-AML患者中。

- ROC曲线分析说明Circ-VIM表达水平可用于从健康人群中区分出全组AML病人,而且也可以很明显地区分出Non-APL和CN-AML患者,提示Circ-VIM可作为诊断AML的理想生物标志物。

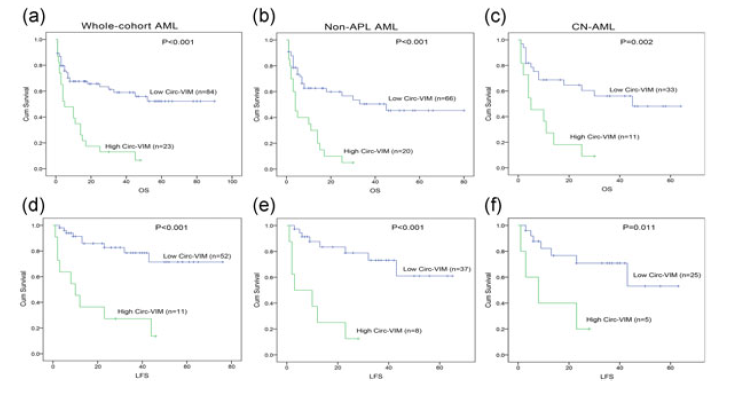
- 根据Circ-VIM的表达水平,将113 AML病人分为Circ‐VIMhigh组和Circ‐VIMlow组,发现两组的性别、年龄、血红蛋白、血小板、骨髓母细胞、核型分类和九种基因突变方面无明显差异,但是两组间的全白细胞计数和FAB亚型分类有明显差异。Kaplan–Meier分析,发现Circ‐VIMhigh组的AML病人的OS和LFS指标更低(a,d)。同样地,在Non-APL和CN-AML病人中,也发现Circ‐VIM表达水平越高,患者的OS和LFS越低(b, c,e, f)。

- 经过多变量分析和单变量分析,发现在所有AML病人中Circ‐VIM是一个独立的预后因素。但是对于CN‐AML 和non‐APL AML病人,Circ‐VIM表达水平对患者的OS和LFS影响无明显差异。


- PCA分析发现,AML病人中的Circ‐VIM表达水平与全白细胞计数、母系基因VIM的表达水平成正相关。而且相比健康人群,AML病人中的基因VIM表达水平也是明显升高的。

总结:该研究发现AML病人,特别是CN‐AML 和non‐APL AML病人中,Circ‐VIM表达水平和VIM基因的表达水平明显增加,其与病人的低OS和LFS成正相关,也可以用于区分健康人群和AML病人,提示其有作为诊断AML的生物标志物的潜能。但是该研究采用的样本数目偏少,无法真正明确Circ‐VIM表达水平与除了WBC和FAB分型的其他临床表现和实验室特征的联系,另外Circ‐VIM从来没有被报道与任何人类肿瘤发生发展有关,对作者设计证明Circ‐VIM促进肿瘤发展的体内和体外实验有一定的限制。VIM基因在EMT进程中发挥重要的作用,而EMT与某些肿瘤的发生发展密切相关,所以对于VIM基因产生的Circ‐VIM对肿瘤的影响的研究值得进一步的深入探究,探究其影响肿瘤发展的具体分子机制。
参考文献
1. Yi YY, et al. Circular RNA of vimentin expression as a valuable predictor for acute myeloid leukemia development and prognosis. J Cell Physiol. 2018 Aug 28. doi: 10.1002/jcp.27145.
.png)