近日,Frontiers in Genetics(IF=4.151)发表了中国科学技术大学生命科学学院单革教授,陈亮博士和中国科学技术大学附属第一医院(原安徽省立医院)许戈良主任为共同通讯作者的文章,报道了肝细胞癌临床标本中各种RNA的共表达网络分析(Sheng, Wang et al. 2019)。单革教授是第五届circRNA研究论坛的特邀嘉宾,欢迎各位届时参加论坛。

本文主要基于高通量测序技术,分析miRNA,circRNA,lncRNA和mRNA的表达水平,然后进行共表达分析,找出HCC特异性的RNA表达变化状态,基于这些特定RNA分子做通路分析和临床标本验证。
收集新鲜的HCC标本和癌旁组织对照的总RNA,小分子RNA建库测miRNA,去除核糖体RNA后建库做测序分析mRNA,lncRNA和circRNA,然后比较四对HCC与癌旁组织中相关分子的变化。

图1 HCC标本分析流程 ((Sheng, Wang et al. 2019))
Bowtie分析miRNA,TopHat2和Cufflinks分析mRNA和lncRNA,find_circ分析circRNA,获得差异表达的各种RNA分子信息。

图2 各种RNA分子的差异表达火山图 ((Sheng, Wang et al. 2019))
分别挑选差异最明显的mRNA(7种),lncRNA(8种),miRNA(4种),circRNA(4种)设计引物,在21对HCC和癌旁组织中做QPCR验证。4种circRNA还进行了一代测序的序列验证。

图3 差异分子验证 ((Sheng, Wang et al. 2019))
除了本文研究中分析到的分子,作者还汇总了其他文献中报道的分子,并在本文所用的21对HCC与癌旁组织中进行了QPCR验证。在所挑选的8种分子(PLOD3, SF3B4, ADH4, COLEC10, HULC, SNHG7, miR-421, miR-761)中,仅有两种分子有比较一致的变化状态(ADH4 和COLEC10)。

图4 文献已报道分子验证 ((Sheng, Wang et al. 2019))
作者基于这些转录组数据进行了lncRNA-mRNA的共表达网络分析。

图5 lncRNA-mRNA共表达网络分析 ((Sheng, Wang et al. 2019))
circRNA通常通过竞争性结合miRNA发挥作用,作者也进行了ceRNA的网络分析,构建了HCC中circRNA的ceRNA网络,并针对下游基因做了通路分析。

图6 ceRNA网络分析 ((Sheng, Wang et al. 2019))
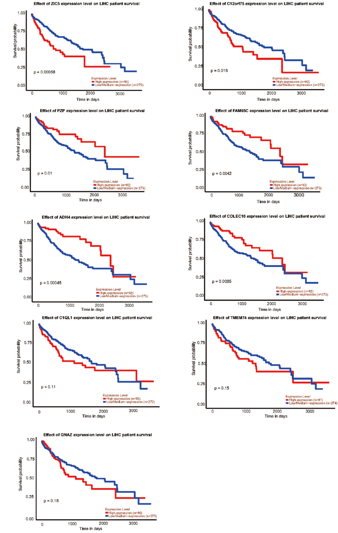
最后,作者通过TCGA数据分析工具UALCAN分析了9种mRNA在HCC病人中的生存曲线状态,其中7种基因的生存曲线表现出典型的相关性。

图7 相关基因生存曲线分析 ((Sheng, Wang et al. 2019))
参考文献
Sheng, Z., X. Wang, G. Xu, G. Shan and L. Chen (2019). “Analyses of a Panel of Transcripts Identified From a Small Sample Size and Construction of RNA Networks in Hepatocellular Carcinoma.” Front Genet 10: 431.
.png)