7月4日,Oncogene杂志在线发表了加拿大多伦多大学杨柏华教授为通讯作者的文章,介绍发现环形RNA circ-Dnmt1 通过调控p53和AUF1入核,促进细胞自噬作用 [1]。

Circ-Dnmt1是DNMT1基因第6和7外显子反向拼接形成的,作者是通过芯片分析发现乳腺癌细胞中普遍存在circ-Dnmt1高表达的现象,因此针对该分子的作用机制展开了研究。过表达circ-Dnmt1能促进细胞增殖,并且能增加对应的Dnmt1的成熟的mRNA水平,但对该基因的转录出产物pre-mRNA没有影响。过表达circ-Dnmt1能促进细胞自噬,免疫荧光实验表明p53和AUF1在circ-Dnmt1过表达后核定位增加了,RIP实验证明了circ-Dnmt1可以与p53和AUF1相互作用。核定位的p53促进自噬相关基因的表达,而核定位的AUF1不能继续调控Dnmt1的mRNA降解作用,导致该mRNA富集并促进DNMT1蛋白的表达。小鼠皮下肿瘤模型实验表明过表达circ-Dnmt1显著增加肿瘤的体积。
本文再次证明circRNA通过与蛋白的相互作用影响蛋白的定位并进一步影响其功能,最终影响细胞行为。该研究思路对其他circRNA分子也有借鉴意义。
如何发现circ-Dnmt1的,内源表达情况怎样?
通过芯片筛选,比较乳腺癌细胞与非癌乳腺细胞中circRNA的表达水平,发现了circ-Dnmt1在所有乳腺癌细胞中均有高表达。作者也构建了过表达载体,验证了相关引物的特异性。也通过Northern实验证明了circ-Dnmt1在细胞内的内源表达。

图1 乳腺癌细胞中存在circ-Dnmt1过表达 (来自[1])
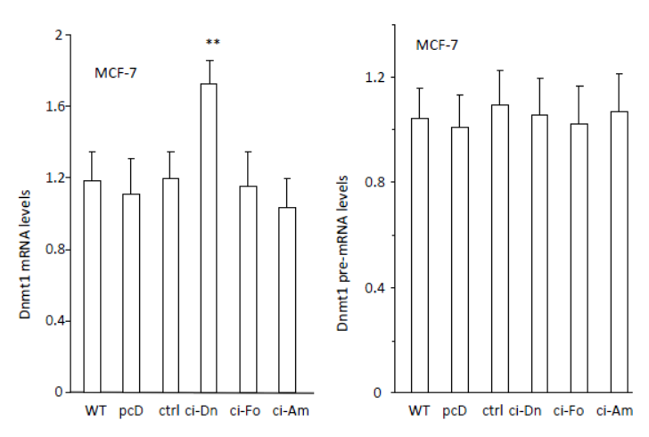
有趣的是,作者发现过表达circ-Dnmt1后,母基因Dnmt1的mRNA水平增加,但该基因转录初产物pre-mRNA(基于内含子序列的引物)并没有增加,说明不是通过促进该基因的转录水平的作用。

图2 circ-Dnmt1对Dnmt1母基因mRNA的影响 (来自[1])
circ-Dnmt1促进细胞自噬
MCF-7细胞中过表达circ-Dnmt1可促进细胞增殖。有趣的是,过表达circ-Dnmt1后细胞衰老的比例明显下降(β-gal染色阳性率低),LC3B明显增多。几种自噬抑制剂处理后circ-Dnmt1表达会增加,这些抑制剂包括:SP600125、Chloroquine、LY294002、Wartmannin。这些抑制剂的处理可阻止过表达circ-Dnmt1导致的细胞增殖和衰老相关的表型。干扰circ-Dnmt1后Dnmt1和LC3B的表达降低,增加了细胞衰老。

图3 circ-Dnmt1通过细胞自噬抑制细胞衰老表型 (来自[1])
circ-Dnmt1促进p53和AUF1入核
免疫荧光检测发现过表达circ-Dnmt1后,p53和AUF1核定位增加。

图4 circ-Dnmt1促进p53和AUF1入核(来自[1])
EBSS 和Rapamycin诱导的细胞自噬条件下,p53和AUF1也会入核,但干扰circ-Dnmt1后,这一入核现象消失。这些自噬诱导剂还可以促进Dnmt1和LC3B蛋白水平的增加。过表达circ-Dnmt1后,circ-Dnmt1的核定位也增加。

图5 细胞自噬与circ-Dnmt1表达水平和核定位有关(来自[1])
circ-Dnmt1可与p53和AUF1相互作用
基于抗p53和AUF1的抗体RIP实验证明,确实存在circ-Dnmt1于两种蛋白的相互作用。计算机模拟实验也佐证了这一相互作用现象。

图6 circ-Dnmt1可与p53和AUF1相互作用 (来自[1])
基于计算机模拟的结果,作者设计了突变载体和反义核苷酸片段,验证是否可阻断circ-Dnmt1与p53和AUF1的相互作用。突变和反义核苷酸均明显抵消了过表达circ-Dnmt1后细胞的影响,包括增殖能力和衰老表型等。p53和AUF1的核定位也受到了影响,说明所预测的位点的确是circ-Dnmt1与p53和AUF1相互作用的位点。

图7 circ-Dnmt1可与p53和AUF1相互作用位点验证(来自[1])
至此,circ-Dnmt1在乳腺癌细胞中的作用机制已成型:高表达的circ-Dnmt1分子通过与p53和AUF1相互作用,最终三种分子均发生入核转移,入核后的p53促进细胞自噬相关的基因表达,入核后的AUF1蛋白不再具有抑制Dnmt1 mRNA的功能,因此促进了Dnmt1蛋白的翻译积累,抑制了p53的转录并促进了肿瘤增殖有关的基因表达。
过表达circ-Dnmt1促进肿瘤生长速度
皮下肿瘤模型表明过表达circ-Dnmt1后肿瘤的生长速度明显增加。自噬诱导剂也可以有类似的作用,而自噬抑制剂则阻止过表达circ-Dnmt1对肿瘤生长的影响。

图8 体内分析circ-Dnmt1的功能(来自[1])
本文为我们呈现了一个非常有趣的circRNA作用机制,进一步说明circRNA与蛋白相互作用的重要性。circ-Dnmt1对母基因mRNA水平的影响机制也非常有借鉴意义。
参考文献:
1. William W Du, Weining Yang, Xiangmin Li, Faryal Mehwish Awan, Zhenguo Yang, Ling Fang, Juanjuan Lyu, Feiya Li, Chun Peng, Sergey N. Krylov, Yizhen Xie, Yaou Zhang, Chengyan He, Nan Wu, Chao Zhang, Mouna Sdiri, Jun Dong, Jian Ma, Chunqi Gao, Steven Hibberd, Burton B. Yang. A circular RNA circ-DNMT1 enhances breast cancer progression by activating autophagy. Oncogene, 2018. Published Online: July 4, 2018
.png)