纯化仍然是circRNA制备的一个重大挑战。目前的纯化策略包括选择性去除线性RNA杂质的核酸外切酶处理,用于中和免疫原性三磷酸基团的磷酸酶处理,以及基于其物理化学属性分离circRNA的凝胶电泳、HPLC(图1A)、亲和层析以及超滤技术。
相关阅读:
大规模制备circRNA: 从Oligo dT亲和层析到冻干制剂
bioRxiv | 利用oligo(dT)亲和层析法实现circRNA的大规模纯化
bioRxiv |新纯化策略有效提高工程circRNA生产和表达效率
bioRxiv丨超滤纯化工程化circRNA,大幅提升纯度及产率
中检院建立RT-HPLC法分析circRNA疫苗纯度及降解产物
凝胶电泳是circRNA分离的重要方法,但环状和线性RNA的物理化学相似性,在通过凝胶电泳分析时迁移率相近。相比之下,高效液相色谱-分子排阻色谱(HPLC-SEC)为生物制药提供了可扩展性。然而在HPLC-SEC中,由于环状与线性RNA峰有重叠,为获得相对纯的circRNA,通常收集circRNA峰的后一部分,因而影响产量。
近日,丹麦奥胡斯大学跨学科纳米科学中心(iNANO)Jørgen Kjems在bioRxiv上发表研究论文:RNA denaturation underlies circular RNA separation。
研究全面评估了使用凝胶电泳和HPLC-SEC纯化circRNA的效果,揭示RNA变性是circRNA有效分离的关键。通过比较酶法和核酶法合成的circRNA,研究强调了不同的合成策略及副产物,决定了纯化的复杂性。而凝胶电泳和HPLC-SEC对circRNA的有效分离都依赖于RNA变性。此外,研究表明,当使用HPLC-SEC时,即使RNA样品中微量的镁离子也会显著影响circRNA分离。在优化的变性条件下,HPLC-SEC能够直接从稀释的体外转录产物中纯化circRNA,从而简化纯化过程。研究提供了对circRNA分离的机制见解,有利于提高circRNA药物的纯度和可扩展性。
凝胶电泳分离circRNA
为了研究circRNA合成方法对凝胶电泳的影响,研究分别利用T4 RNA连接酶2介导夹板连接法、排列鱼腥藻I型内含子-外显子(PIE)法、四膜虫I型内含子自靶向剪接(STS)法合成circRNA(图1B)。
图1 用于circRNA分离研究的构建体设计。
较高的E-gel电泳温度可以促进circRNA分离。变性尿素聚丙烯酰胺凝胶电泳(PAGE)分离效果更佳,而天然PAGE和毛细管凝胶电泳(CGE)在预变性处理后也能提高分离效率。可能归因于变性过程后RNA构型的均一性增加。
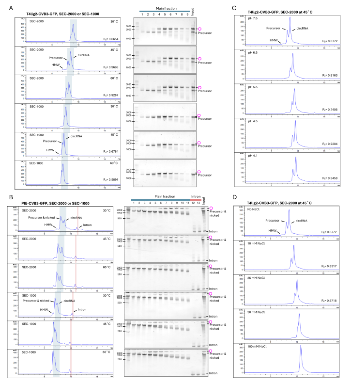
加热有利于HPLC-SEC纯化circRNA
提高柱温可以显著提高circRNA与线性RNA的分离率。对于PIE和STS构建体,柱温提高至45 ℃时,PIE构建体circRNA的分离得到增强,而STS构建体在60 ℃时circRNA与线性RNA峰重叠较多。此外,孔径大小对分离效果有重要影响。(图2)
图2 circRNA的HPLC-SEC纯化。
预处理对HPLC-SEC纯化circRNA的影响
在65°C下快速冷却使T4 lig 2-CVB 3-GFP构建体的分辨率略有提高,同时减少了PIE和STS构建体中内含子与较长RNA的共洗脱。此外,加入10 mM镁会干扰circRNA的分离,而加入10 mM EDTA并快速冷有利于去除内含子,从而提高circRNA的纯化效果。
HPLC-SEC纯化粗提circRNA
研究进一步探索了是否可以省略HPLC-SEC纯化之前的RNA清除步骤。提高柱温至45 ℃和60 ℃可以改善circRNA和内含子分离效果。结合快速冷却和添加EDTA及甲酰胺的策略,显著降低了PIE构建体的内含子含量(图3B-D)。然而,STS构建体无需该处理,其内含子在60 ℃时已完全分离。
可能原因是,PIE样品引入了额外的镁以提高环化效率,因而需要更苛刻的变性条件。而IVT后STS结构未引入额外的镁或加热步骤。此外,两种合成方法的差异,也可能导致内含子和circRNA的分子间结合亲和力的不同(图1B)。
图3 未经预先RNA净化的PIE-CVB 3-GFP circRNA的HPLC-SEC纯化。
总结
基于T4酶夹板法、PIE法、STS法三种circRNA体外合成策略产生的线性副产物中分离circRNA的基本原理,研究证明了变性条件对于在凝胶电泳和HPLC-SEC中有效分离circRNA是至关重要的。研究将推动基于circRNA的生物技术和治疗方法的发展,为未来的创新治疗策略铺平道路。
基于T4酶夹板法、PIE法、STS法三种circRNA体外合成策略产生的线性副产物中分离circRNA的基本原理,研究证明了变性条件对于在凝胶电泳和HPLC-SEC中有效分离circRNA是至关重要的。研究将推动基于circRNA的生物技术和治疗方法的发展,为未来的创新治疗策略铺平道路。
以上研究可知,从物理化学性质相似的线性RNA甚至是nicked RNA副产物中高效分离circRNA是一项极具挑战性的步骤。不同的体外合成circRNA策略、合成条件以及circRNA序列长度等因素,均可能导致不同的副产物生成,进而影响circRNA的纯化效率和纯度。
如何实现高纯度circRNA的制备?
吉赛生物开发了基于T4连接酶法的circPure®和PIE法的circPrecise®两种RNA环化专利技术,并进一步优化了circRNA纯化平台。该平台可针对不同合成策略和不同序列circRNA合成的杂质组分和含量进行分析,从而选择适宜的纯化策略。其纯化策略包括凝胶电泳、亲和层析、HPLC、自研RNase R处理、超滤等多种主流技术,并可实现多种纯化技术的联合应用。凭借高效精准的circRNA体外合成和纯化平台,吉赛生物可提供高纯度、高环化效率、无序列长度限制且表达能力优异的circRNA体外合成服务。
原文链接
https://www.biorxiv.org/content/10.1101/2025.01.04.631262v1
.png)