近日,德国汉诺威医学院的Thomas Thum教授作为通讯作者,在scientific reports杂志上首次发表血清circRNA作为肥厚型梗阻性心肌病的生物标志物研究论文[1]。该研究成果表明,circRNA作为心血管疾病的标志物潜力巨大。
肥厚型心肌病(HCM)是最常见的遗传性心脏病之一,并伴有心脏猝死的高风险。HCM的特征是心肌细胞明显肥大,心肌纤维紊乱和纤维化发展,可分为非阻塞性(HNCM)和阻塞性形式(HOCM),因此需要个性化的治疗方法。

正常心脏和患肥厚性心肌病心脏的区别,图片来源[2]
该研究中,作者纳入了64例HCM患者和53例健康对照者,并定量测量了血清中circDNAJC6、circTMEM56和circMBOAT2的表达水平。然后将circRNA的表达丰度与相关的临床参数进行关联分析。结果显示,HCM患者的circRNA DNAJC6,TMEM56和MBOAT2的血清表达水平下调。即使对混杂因素(年龄、性别)进行了调整,circRNA水平与HCM之间的负相关性仍保持不变,将对照组健康人与HCM,HNCM或HOCM患者进行比较时(AUC从0.722到0.949),单独或组合评估的3种circRNA均显示出强大的区分能力。circTMEM56和circDNAJC6与HOCM的超声心动图参数显著负相关。血清circRNA DNAJC6,TMEM56和MBOAT2可共同区分健康人和HCM患者。此外,circTMEM56和circDNAJC6可以作为HOCM患者疾病严重程度的指标。因此,circRNAs作为HCM的新型生物标志物的出现,为HCM个性化临床治疗决策提供了可能。下面我们一起了解下论文中的具体研究结果。
该研究采集了64例肥厚型心肌病患者和53例健康对照者的血清标本。在HCM患者中,有33例无症状的患者和31例左心室流出道梗阻的患者,患者详细特征见表1。根据诊断标准选择患者(该诊断标准基于最新的欧洲肥厚型心肌病的诊断和治疗指南)。HOCM和HNCM患者之间的NYHA分类,晕厥数量,心律不齐,阳性家族史和并发症没有差异。在药物水平上,HOCM和HNCM患者的β受体阻滞剂,ACEI抑制剂和利尿剂无差异,但AT受体拮抗剂的使用在HNCM患者中明显更高。比较超声心动图,HOCM和HNCM患者之间左心室舒张末期尺寸,左心房大小和左心室壁厚度之间没有差异。然而,由于HOCM的病理特点,HOCM患者在左心室流出道中显示出更高的梯度。HOCM组和HNCM组之间的二尖瓣反流发生率有所不同,其中HNCM组中较小的反流和HOCM组中较多的中度反流。

表1:纳入研究HCM患者的临床特征明细表
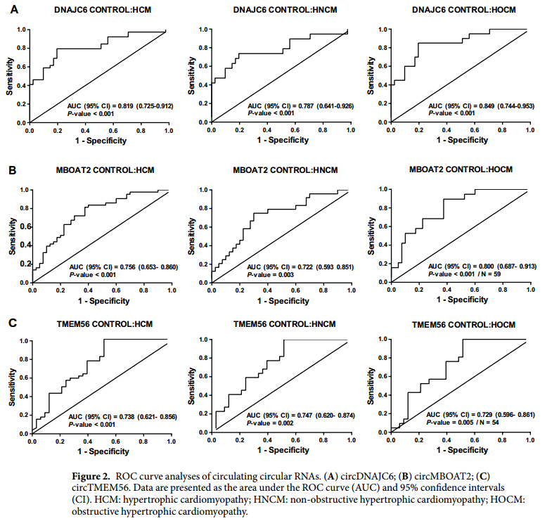
根据先前公布的数据,研究者挑选了外周血中3种已知高丰度的circRNA(circDNAJC6,circMBOAT2和circTMEM56),并在血清中通过实时定量PCR进行检测。对照组受试者中circRNA DNAJC6,MBOAT2和TMEM56的表达水平明显高于HCM患者(图1A–C)。即使考虑到年龄和性别因素,circRNA水平与HCM之间存在的负相关性也保持不变(表2)。分析两组HOCM和HNCM后发现circRNA水平相似(图1A–C)。为了进一步确认这些结果,研究者另外进行了ROC曲线分析,结果表明当与HCM,HNCM或HOCM患者进行比较时,所有circRNA单独或组合都具有很强的辨别价值[ROC曲线下的面积(AUC)从0.722至0.949](图2A–C)。

图1:circRNA DNAJC6,MBOAT2和TMEM56在血清中的表达水平

表2:circRNA表达水平与HCM之间相关性

图2:circRNA的ROC曲线分析
为探索HCM中circRNA与不同超声心动图参数的潜在关联,研究者还进行了相关分析。如图3所示,在该患者组中,circRNA circDNAJC6和circTMEM56与左心室流出道梯度(LVOT gr.max)和室间隔(IVS)厚度之间存在直接的显著相关性。在整个HCM人群或HNCM亚组中,circRNA和超声心动图参数之间未发现相关性(数据未显示)。综上所述,HOCM患者中circRNA的表达水平与LVOT梯度和IVS厚度呈负相关,这将有助于改善对这种阻塞性心脏病的严重程度认识和早期发现。

图3:HOCM中circRNA与超声心动图参数的相关分析
该研究的优势在于,作者不仅将健康受试者与一般HCM患者进行了比较,而且还对HNCM和HOCM进行了区分,以进一步鉴定circRNA与疾病严重程度之间的相关性。
尽管如此,研究者在论文最后的讨论部分提到,研究的结果仍需由较大且独立的研究组来复制。进一步的研究应该调查circRNA与HOCM临床严重程度之间相互作用的重要性,以促进治疗决策,例如:植入心脏复律器/除颤器(ICD)或减少心肌的治疗(TASH或肌切除术)。根据当前的临床指南,建议在存在症状和体征的情况下对患者进行基因检测作为I类适应症以确诊。这可能有助于促进临床风险分层。由于基因检测的治疗效果仍然有限,并且根据目前的临床经验,患者进行基因检测的意愿较低。因此,暂时无法提供心肌病和circRNA丰度的遗传关联信息,而扩展到遗传分析是即将开展的研究的主要目标。
参考资料:
1、Sonnenschein K, Wilczek A L, de Gonzalo-Calvo D, et al. Serum circular RNAs act as blood-based biomarkers for hypertrophic obstructive cardiomyopathy[J]. Scientific Reports, 2019, 9(1): 1-8.
2、http://www.qdxin.cn/Health/2019/176189.html
.png)