阿尔茨海默病(AD)是一种与进行性记忆、思维和行为能力丧失相关的最常见的痴呆病。AD作为一种与衰老相关的神经退行性疾病,其已知最大的危险因素是增长的年龄。大量研究都认为淀粉样β肽(Aβ)累积和tau蛋白过度磷酸化导致AD。据报道,参与APP蛋白水解过程的APP基因突变会加速了Aβ肽的积累。Aβ肽聚合成有毒的寡聚体并聚集成不溶性淀粉样斑块,并通过GSK3β活化引起tau蛋白过度磷酸化,随后在神经元内形成的神经原纤维缠结引发了一系列事件,最终导致神经元死亡。这种阿尔茨海默病被称为家族性阿尔茨海默病(fAD)。由于它在较早的年龄发展,也被描述为早发性家族性阿尔茨海默病(EFAD),但这种类型的AD占所有AD患者的比例低于1-5%。
其实,最常见的AD形式是迟发性阿尔茨海默氏症(LOAD),通常出现在65岁及以上的人群中。由于这种类型AD的遗传原因尚不清楚,所以它通常被称为散发性AD(sAD)。
尽管fAD和sAD之间存在差异,但它们具有共同的症状,导致脑损伤逐渐增加。 fAD和sAD的病理学标志分别是由Aβ积聚和tau过度磷酸化引起的斑块和缠结。 LOAD发展和进展的确切机制还未明确,此外, LOAD中Aβ积累的机制也是不清楚的。
环状RNA(circRNA)是进化保守的转录物,其通过5’和3’末端反向剪接从前mRNA衍生而来。circRNA在神经元中表达丰富。有趣的是,脑circRNAs在多种生物的衰老过程中受到调节,这表明circRNAs在脑老化和与衰老相关的神经退行性疾病中发挥着潜在的作用。

来自德国马克斯普朗克衰老生物学研究所的研究者于biorxiv网站在线发表的题为“The role of Aβ circRNA in Alzheimer’s disease: alternative mechanism of Aβ biogenesis from Aβ circRNA translation”的研究,发现了在阿尔茨海默病发病过程中Aβ circRNA可以形成Aβ肽的新机制,同时也揭示了circRNA可以翻译蛋白,这一重要功能对于生理或者病理过程的重要作用。(PS:该研究是研究人员的新发现,暂时未发表于任何正式杂志,原文需到biorxiv网站下载)

作者对两种可能形成Aβ肽的机制进行总结:左边是已有大量研究对家族性AD中Aβ肽形成机制的描述;右边则是本文发现的Aβ circRNA-a形成Aβ肽的新机制具体描述。
1. 通过深度测序数据分析APP基因来源的circRNAs
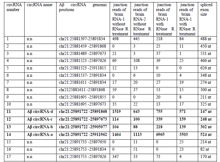
通过已有研究中的深度测序数据进行分析,挖掘到了人淀粉样前体蛋白APP基因来源的几种circRNAs,其中一种是包含Aβ肽ORF的circRNA(hsa_circ_0007556)。利用反向引物RT-PCR人脑样本来源的总RNA,电泳结果发现扩增产物中存在多种不同长度的APP基因来源的几种circRNAs(A)。同时对PCR扩增产物再次进行深度测序分析,发现了16种Aβ肽circRNAs,hsa_circ_0007556(Aβ circRNA-a)也包括在其中;对RNase R处理后的人脑组织来源的总RNA也经过上述相同处理,也可以发现这16种Aβ肽circRNAs中有15种是一样的,另外也发现了一种新的Aβ肽circRNA(table 1)。
在这些Aβ肽circRNAs中,Aβ circRNA-a含量最丰富,因此被选为后续Aβ circRNA功能研究的主要靶点,其RT-PCR扩增产物被克隆进入pCMV-MIR载体进行体外过表达后的功能验证。


2. 体内证实Aβ circRNA-a的存在并构建过表达载体进行研究
利用特异性引物对人脑额叶和海马组织来源的总RNA进行RT-PCR检测,明确了Aβ circRNA-a存在于人脑组织中(A,C);为进一步探索Aβ circRNA的功能,作者通过内含子介导增强circRNA体外表达策略(后续会分享这种方法),体外构建了pCircRNA-BE-Aβ-a 和 pCircRNA-DMo-Aβ-a过表达载体(B),转染至HEK293后,RT-PCR检测发现其表达量分别增加了2185和3268倍(D),剪切位点序列与野生型Aβ circRNA-a一致,电泳明确了Aβ circRNA-a载体的过表达情况(C),Sanger测序证明体外这种过表达的Aβ circRNA-a与天然产物的序列一致,Northern印迹实验也证明了Aβ circRNA-a体外过表达成功,RNase R处理证明其对该酶的耐受性,最重要的是,这两种过表达载体只会产生Aβ circRNA-a,而不会产生成熟线性RNA,造成产物污染,以保证后续功能验证的有效性;另外Aβ circRNA-a体外过表达并不会影响HEK293细胞内源性APP mRNA的表达。

3. 体外过表达的Aβ circRNA-a具有蛋白翻译功能
由于之前有研究报道某些circRNAs能被翻译成蛋白,而Aβ circRNA-a中包含基因ORF序列,所以作者通过构建载体于体外过表达Aβ circRNA-a后,WB检测到细胞中Aβ肽的表达条带约为15-20kDa,产物被称为Aβ circRNA-a-DP,其中在HEK293细胞可检测到Aβ circRNA-a的本底表达,而pCircRNA-DMo-Aβ-a载体过表达效率最高。有趣的是,作者发现Aβ circRNA-a的表达差异大,而其对应的Aβ circRNA-a-DP蛋白翻译水平差异不一定打, 说明存在未知的调控机制在调控circRNA的蛋白翻译。

4. Aβ circRNA-a可以形成Aβ circRNA-a-DP,最后形成Aβ肽?
Aβ circRNA-a可以被翻译成Aβ circRNA-a-DP蛋白,其序列中含有β和 γ-分泌酶剪切位点,提示Aβ circRNA-a-DP很有可能经过β和 γ-分泌酶蛋白水解过程形成Aβ肽。通过IP-WB实验检测到Aβ circRNA-a过表达的HEK293细胞上清中存在Aβ肽,其Aβ肽表达差异水平与Aβ circRNA-a-DP蛋白水平差异趋势几乎一致,说明表达上调的Aβ肽很有可能来自Aβ circRNA-a-DP。

5. Aβ circRNA-a形成Aβ肽,那么Aβ肽最终会形成Aβ斑块?
Aβ肽形成Aβ斑块是AD疾病的标志,既然Aβ circRNA-a可以形成Aβ肽,那么这Aβ肽是否可以形成Aβ斑块。作者通过体外电转染pCircDNA-DMo-Aβ-a质粒到小鼠胚胎神经元培养10天后,IF检测到相比于对照质粒组,pCircDNA-DMo-Aβ-a转染组的神经元出现Aβ斑块信号(红色荧光),绿色荧光为神经元,这提示在原代神经元中过表达Aβ circRNA-a后可以形成Aβ斑块。

6. Aβ circRNA-a过表达后形成的Aβ肽,对下游信号通路的影响?
在HEK293细胞中转染两种载体后过表达Aβ circRNA-a,WB检测发现其都能明显增强GSK3β蛋白、Tau蛋白和磷酸化Tau蛋白的表达水平,其中pCircRNA-DMo-Aβ circRNA-a质粒过表达后促进相关蛋白表达效率相比高点,提示过表达Aβ circRNA-a可以明显上调GSK3β蛋白表达和增强tau蛋白磷酸化。

bioRxiv(发音为“bio-archive”)是一个免费的在线档案和分发服务,用于生命科学中未发表的预印本。它由冷泉港实验室运营,这是一个非营利性的研究和教育机构。通过在bioRxiv上发布预印本,作者能够立即向科学界提供他们的发现,并在将稿件提交给期刊之前收到有关草稿的反馈。
在线发布之前,文章不经过同行评审,编辑或排版。但是,所有文章都会对攻击性和/或非科学内容以及可能造成健康或生物安全风险的材料进行基本筛选,并检查是否存在剽窃行为。冷泉港实验室对其文章的方法,假设,结论或科学质量的认可并未体现在bioRxiv的外观上。文章可以在提交给期刊之前或同时发布,但如果已经被期刊接受发表,则不应发布。
作者可以随时(在文章接受发布之前)向bioRxiv提交文章的修订版本。一旦发布在bioRxiv上,文章是可引用的,因此无法删除。
原文链接:https://www.biorxiv.org/content/early/2018/09/05/260968
.png)