欢迎各位来到“circRNA研究报道汇总”栏目,本期从pubmed中检索收集最新发布的circRNA文献25篇,下面我们一起来看看circRNA研究有哪些新进展。
1、环形RNA在人类造血细胞中细胞特异性地广泛表达
论文标题:Circular RNA expression in human hematopoietic cells is widespread and cell-type specific
杂志:Nucleic Acids Res 影响因子:11.561
通讯作者单位:阿姆斯特丹大学
人骨髓具有强大的血细胞生成能力,根据统计,在稳态下,骨髓每小时可生成10的10次方个红细胞和10的9次方个白细胞,通常状况下,正常个体血细胞数量维持在一个固定范围,但个体在应急状态下通过骨髓强大的造血能力可获得大量的血细胞。血细胞生成过程中,受严格的基因调控,circRNA是否在该过程发挥重要作用呢?阿姆斯特丹大学的研究者利用在线数据库的相关数据,对人原代造血细胞的转录组测序数据进行了深入的分析,发现circRNA在人造血祖细胞和其分化后的淋系与髓系细胞中,具有广泛表达和细胞类型特异性的表达模式和特性,circRNA表达水平随着血细胞成熟过程不断上调,不同circRNA剪接异构体具有明显的细胞类型特异性,血小板和红细胞中存在circRNA且含量最高,上述分析结果其实很好地提示了circRNA在造血细胞分化过程中可能扮演重要作用,为后续的circRNA在人造血细胞分化成熟过程中的功能机制研究提供了很好的线索。该文详细解读请参考本公众号历史文章:CircRNA广泛表达在人造血细胞中,并具有细胞类型特异性

图注:研究者利用CE和DCC两种工具分析造血细胞RNA-seq数据共同鉴定出4103个circRNA分子,并进行了RT-PCR验证,其中13个新发现的circRNA耐受RNAse R酶的消化。
2、环状DNA病毒基因可生成环形RNA
论文标题:Circular DNA tumor viruses make circular RNAs
杂志:PNAS 影响因子:9.504
通讯作者单位:匹兹堡大学
该研究首次报道在EBV和KSHV两种DNA病毒基因组中可转录产生病毒来源的circRNA分子,EBV病毒中主要发现了BART基因区产生的外显子组成circRNA和同时携带外显子和内含子序列的circRNA,分别定位在细胞质和细胞核中。KSHV病毒的IRF4和PAN基因均可产生circRNA,进一步分析发现,这些circRNA可能具备翻译蛋白的能力。病毒基因组可产生circRNA为circRNA的研究又打开了一扇大门,还有很多研究方向和机会值得大家去探索挖掘,比如我们在“环状DNA病毒基因可生成环状RNA”这篇文章的解读中提到的:
- 这些病毒基因组来源的circRNA是通过什么机制形成的?反向互补序列还是RNA结合蛋白介导?内含子被保留的原因和机制是什么?
- 这些circRNA的功能和作用机制是怎样的?是否与来源的基因(host gene)的功能更有一定关系?与病毒的潜伏状态或疾病的进程有什么关系?这些病毒来源的circRNA对肿瘤的作用是怎样的?在未感染相关病毒的细胞中过表达这些circRNA分子会有什么效应?……
- 病毒基因来源的circRNA是否具有普遍性?其他类型病毒是否也有类似的产生circRNA的现象?其它物种中是否也存在类似的现象?这些circRNA是否是进化选择的结果?

图注:EBV病毒基因BART来源的circRNA分子结构意图
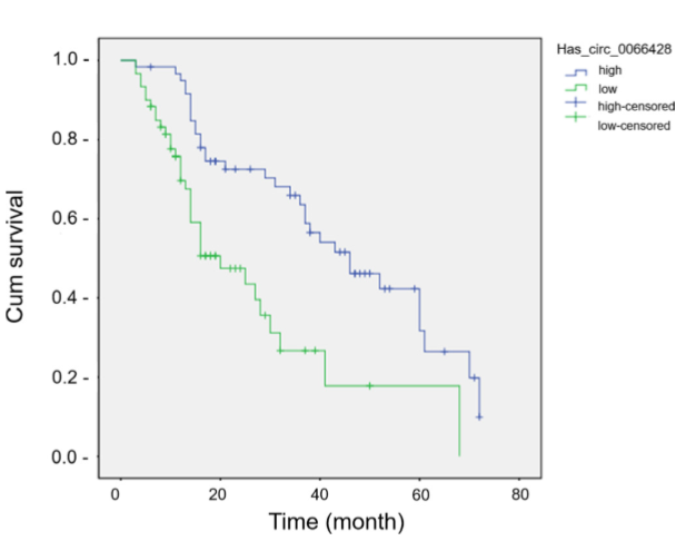
- 微阵列芯片分析hsa_circ_0064428可作为肝细胞癌潜在的免疫相关预后生物
论文标题:Global microarray profiling identified hsa_circ_0064428 as a potential
杂志:J Med Genet 影响因子:5.751
通讯作者单位:温州医科大学附属第五医院
肿瘤微环境和免疫状态跟肿瘤转移侵袭密切相关,肿瘤浸润淋巴细胞(TILs)作为存在于肿瘤细胞周围的一种淋巴细胞类型,是肿瘤免疫反应的关键指标,大量研究表明CD4 +和CD8 + TIL细胞比例上调可提高肝癌切除后的OS和延迟复发时间,改善肝癌临床预后。该研究利用circRNA芯片技术考察了肝癌患者高/低比例TILs样本中circRNA表达谱的变化情况,发现hsa_circ_0064428的高表达水平与肝癌患者的TILs低比例、患者的低存活率、肿瘤体积大和发生转移成相关,即hsa_circ_0064428高表达HCC患者临床预后不良。从肿瘤免疫反应角度解读circRNA在肝癌预后中的作用,是本文的研究亮点,研究思路也清晰明了。

图注:Kaplan-Meier生存曲线分析表明hsa_circ_0064428可作为HCC独立的预后生物标志物
- 基于腺相关病毒载体实现体内circRNA表达和翻译蛋白
论文标题: Tissue-dependent expression and translation of circular RNAs with recombinant AAV vectors in vivo
杂志:Molecular Therapy: Nucleic Acid 影响因子:5.66
通讯作者单位:北卡罗来纳大学
目前circRNA相关的过表达和敲低研究时,大部分采用慢病毒进行包装。慢病毒载体可插入基因组,形成稳定表达,表达周期长,且稳定遗传,比较适合用于肿瘤细胞的稳转株建立。但慢病毒感染宿主细胞时随机插入整合到基因组可能带来对脆弱细胞的损伤,影响部分细胞增殖能力,插入外源片段对病毒滴度也有影响。腺相关病毒在基因插入和滴度方面却有自己的优势,因此,该研究开发了一种基于腺相关病毒载体(rAAV)的体内表达circRNA并实现翻译蛋白的载体工具,为circRNA的研究又提供了新的武器,具体技术细节可参考本公众号历史文章:基于腺相关病毒载体实现体内circRNA表达和翻译蛋白。

图注:circRNA的AAV腺相关病毒载体构建示意图
广州吉赛生物在circRNA表达方面积累了丰富的技术经验,目前可提供circRNA表达载体的慢病毒和腺相关病毒构建包装服务,相关技术文章可参考:circRNA表达载体全面升级第五代;吉赛攻略 | 放送回馈之circRNA过表达载体。
文献列表:
| 序号 | 主要内容 | 论文标题 | 杂志 | IF | 单位 |
| 1 | 环形RNA在人类造血细胞中细胞特异性地广泛表达 | Circular RNA expression in human hematopoietic cells is widespread and cell-type specific | Nucleic Acids Res. | 11.561 | 阿姆斯特丹大学 |
| 2 | 环状DNA病毒基因可生成环形RNA | Circular DNA tumor viruses make circular RNAs | PANS | 9.504 | 匹兹堡大学 |
| 3 | 微阵列芯片分析hsa_circ_0064428可作为肝细胞癌潜在的免疫相关预后生物标志物 | Global microarray profiling identified hsa_circ_0064428 as a potential immune-associated prognosis biomarker for hepatocellular carcinoma | J Med Genet. | 5.751 | 温州医科大学附属第五医院 |
| 4 | 基于腺相关病毒载体实现体内circRNA表达和翻译蛋白 | Tissue-dependent expression and translation of circular RNAs with recombinant AAV vectors in vivo | Molecular Therapy: Nucleic Acid | 5.66 | 北卡罗来纳大学 |
| 5 | 通过转录组测序分析鉴定维生素A缺乏诱导的先天性脊柱侧凸中竞争性内源性RNA调节网络 | Identification of Competing Endogenous RNA Regulatory Networks in Vitamin A Deficiency-Induced Congenital Scoliosis by Transcriptome Sequencing Analysis | Cell Physiol Biochem | 5.5 | 北京协和医院骨科 |
| 6 | circRNA在心血管疾病中的研究进展 | The emerging landscape of circular RNA in cardiovascular diseases | J Mol Cell Cardiol. | 5.296 | 广东医科大学 |
| 7 | Circ-ZEB1.33通过吸附miR-200a-3p后上调CDK6促进人类HCC细胞增殖 | Circ-ZEB1.33 promotes the proliferation of human HCC by sponging miR-200a-3p and upregulating CDK6 | Cancer Cell Int. | 3.96 | 镇江市第三人民医院 |
| 8 | 环状RNA-VANGL1作为竞争性内源性RNA通过调节miR-605-3p / VANGL1途径促进膀胱癌进展 | Circular RNA circ-VANGL1 as a competing endogenous RNA contributes to bladder cancer progression by regulating miR-605-3p/VANGL1 pathway. | J Cell Physiol | 3.923 | 同济大学附属东方医院 |
| 9 | 综合分析喉鳞状细胞癌中全转录组表达谱及circRNA-lncRNA共调控ceRNA网络的构建 | Comprehensive analysis of the whole coding and non-coding RNA transcriptome expression profiles and construction of the circRNA-lncRNA co-regulated ceRNA network in laryngeal squamous cell carcinoma | Funct Integr Genomics | 3.889 | 哈尔滨医科大学附属第二医院 |
| 10 | 拟南芥叶片发育中ncRNA相关ceRNA网络的鉴定和表征 | Identification and characterization of ncRNA-associated ceRNA networks in Arabidopsis leaf development | BMC Genomics. | 3.73 | 浙江大学生命科学学院 |
| 11 | Hsa_circ_0007534的过表达预示着骨原性肉瘤的预后不良,并通过影响akt/gsk-3信号通路来调节细胞生长和凋亡 | Overexpression of hsa_circ_0007534 predicts unfavorable prognosis for osteosarcoma and regulates cell growth and apoptosis by affecting AKT/GSK-3β signaling pathway. | Biomed Pharmacother | 3.457 | 齐齐哈尔医科大学第二附属医院 |
| 12 | 环状RNA CEP128竞争性吸附miR-145-5p调节SOX11促进膀胱癌进展 | Circular RNA CEP128 acts as a sponge of miR-145-5p in promoting the bladder cancer progression via regulating SOX11. | Mol Med | 3.34 | 厦门大学附属第一医院 |
| 13 | 综述:circRNA肿瘤研究中的新星 | Circular RNA: new star, new hope in cancer | BMC Cancer | 3.288 | 广东医科大学 |
| 14 | 茶叶叶芽到幼叶发育过程中的环状RNA结构和分化 | Circular RNA architecture and differentiation during leaf bud to young leaf development in tea (Camellia sinensis) | Planta | 3.249 | 安徽农业大学 |
| 15 | MiR-145影响前列腺癌LNCaP细胞中的环状RNA表达 | MiR-145 affected the circular RNA expression in prostate cancer LNCaP cells. | J Cell Biochem | 2.959 | 广州番禺区中心医院 |
| 16 | 预测环状RNA hsa_circ_0032462,hsa_circ_0028173,hsa_circ_0005909通过在人骨肉瘤中作为miRNAs海绵起作用来促进CADM1表达。 | Circular RNAs hsa_circ_0032462, hsa_circ_0028173, hsa_circ_0005909 are predicted to promote CADM1 expression by functioning as miRNAs sponge in human osteosarcoma | PLoS One | 2.766 | 吉林大学第二医院 |
| 17 | 下调hsa_circ_0007534通过靶向miR-593 / MUC19信号通路抑制乳腺癌细胞增殖和侵袭 | Downregulation of hsa_circ_0007534 suppresses breast cancer cell proliferation and invasion by targeting miR-593/MUC19 signal pathway. | Biochem Biophys Res Commun | 2.559 | 大庆油田总医院肿瘤科 |
| 18 | 上调的环状RNA circ_0016760表明NSCLC中的不利预后并且通过miR-1287 / GAGE1轴促进细胞进展。 | Upregulated circular RNA circ_0016760 indicates unfavorable prognosis in NSCLC and promotes cell progression through miR-1287/GAGE1 axis. | Biochem Biophys Res Commun | 2.559 | 牡丹江医学院红旗附属医院 |
| 19 | 秦川牛睾丸环状RNA的鉴定与特征分析 | Identification and characterization of circular RNAs in Qinchuan cattle testis | R Soc Open Sci. | 2.504 | 西北农林科技大学 |
| 20 | 与肝星状细胞活化相关的环状RNA的初步筛选和功能分析 | Preliminary screening and functional analysis of circular RNAs associated with hepatic stellate cell activation | Gene | 2.498 | 宁波大学医学院 |
| 21 | 环状RNA在人甲状腺乳头状癌中的表现及临床意义 | Profile and clinical implication of circular RNAs in human papillary thyroid carcinoma | PeerJ. | 2.118 | 华中科技大学同济医院 |
| 22 | 全面回顾circRNA:从纯化和鉴定到疾病标记物研究 | A comprehensive review of circRNA: from purification and identification to disease marker potential | PeerJ. | 2.118 | 青岛大学转化医学研究所 |
| 23 | circ-CFH通过吸附miR-149调控AKT1促进胶质瘤进展 | Circular RNA Complement Factor H (CFH) Promotes Glioma Progression by Sponging miR-149 and Regulating AKT1 | Med Sci Monit. | 1.894 | 淮安市第一人民医院 |
| 24 | 环状RNA作为癌症的生物标志物的荟萃分析 | Circular RNA as a biomarker for cancer: A systematic meta-analysis | Oncol Lett. | 1.664 | 北京安贞医院 |
| 25 | CircRNA与基因扩增 | circRNA meets gene amplification | Noncoding RNA Investig. | NA | 洛杉矶Cedars-Sinai医疗中心 |
.png)