过去的2017年circRNA研究领域硕果累累,circRNA公众号也做了非常详细的解读,2018新的一年、新的征程,我相信circRNA研究无论是在广度上还是深度上都将实现全面突破,元月上旬,circRNA方面的研究亮点不少,如环形siRNA可显著降低脱靶效应,有更好的特异性。医学方面,新发现circRNA可作为胰腺癌、糖尿病视网膜疾病的诊断标志物等。下面我们一起盘点这半个月的相关研究进展。
1、CircRNA的计算机研究策略
论文题目:Computational Strategies for Exploring Circular RNAs
杂志:Trends in Genetics 影响因子 10.8分
通讯作者单位:中国科学院北京生命科学研究院
生物信息学在circRNA研究中不可或缺,目前也涌现出多种circRNA鉴定算法,但每种方法侧重点各有不同,如何在自己的课题中选择合适的计算方法,显得尤为重要。本文通讯作者为中国科学院北京生命科学研究院的赵方庆老师,详细梳理剖析了当前circRNA研究领域内的生物信息学研究方法,

图注:目前11种circRNA鉴定算法精确性比较

图注:PEM双端测序模式的信息可降低circRNA鉴定过程中的假阳性

图注:circRNA下游数据分析工具列表,可预测circRNA蛋白编码潜能、差异表达、可变剪接和可视化等
2、干扰RNA(siRNA)设计成环形可有助于降低脱靶效应
论文题目:Circular siRNAs for Reducing Off-Target Effects and Enhancing Long-Term Gene Silencing in Cells and Mice
杂志:Molecular Therapy Nucleic Acids 影响因子6.39分
通讯作者单位:北京大学药学院
该研究由北京大学药学院汤新景教授主导,报道发现将干扰RNA的一条设计为闭合环状的形态将有助于提高特异性和延长作用能力,降低脱靶效应,预示着未来circRNA或许可以直接成为有效的核酸药物,研究成果振奋人心。文章详解见本公众号文章《circRNA再显神通:干扰RNA设计成环形可有助于降低脱靶效应!》

图注:circular siRNA将一条链设计为circRNA形式,另一条链仍为线性RNA可降低脱靶效应,增强特异性。
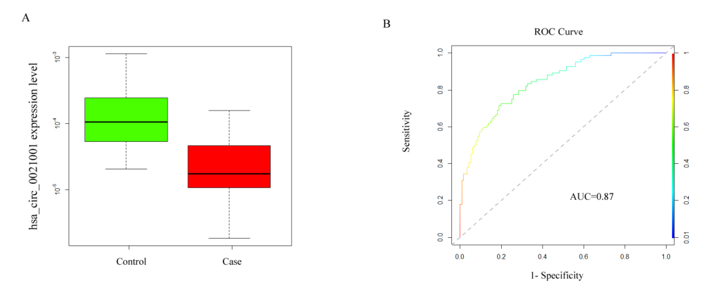
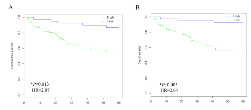
3、hsa_circ_0021001是颅内动脉瘤的潜在标志物
论文题目:Circular RNA hsa_circ_0021001 in peripheral blood: a potential novel biomarker in the screening of intracranial aneurysm
杂志:Oncotarget影响因子5.2分
通讯作者单位:浙江温岭第一人民医院
颅内动脉瘤(IA)是颅内局部血管异常改变而产生的血管瘤样突起,多发生于颅内动脉分叉处,破裂后可以导致蛛网膜下腔出血,具有较高的致残率和病死率。早期诊断和预防出血具有重要的临床意义。癌症相关的外周血中circRNA作为诊断标志物已有报道,但关于circRNA在颅内动脉瘤中的研究很少,该研究锁定hsa_circ_0021001,探讨其在颅内动脉瘤患者外周血中的表达情况是否可作为IA的诊断生物标记物。研究者选取223例AI患者,131名健康志愿者作为对照组,采集受试者外周血,进行实时定量逆转录检测。在IA患者的外周血中Hsa_circ_0021001表达水平显著低于健康对照组,通过ROC曲线分析发现AUC为0.87,具有很好的诊断价值。采用多变量Cox比例风险回归分析和预后分析发现,hsa_circ_0021001的表达与动脉瘤破裂、Hunt、Hess水平及手术时机相关。高表达hsa_circ_0021001的患者无病生存(DFS)和总生存(OS) (P < 0.05)较长,表明hsa_circ_0021001具有很好的临床诊断价值。

图注:hsa_circ_0021001在AI患者外周血中表达显著低于健康对照组,ROC曲线AUC=0.87

4、秀丽隐杆线虫衰老过程中circRNA全局表达谱的模式研究
论文题目:Global accumulation of circRNAs during aging in Caenorhabditis elegans
杂志:BMC GENOMICS 影响因子3.73分
通讯作者单位:美国内华达大学生物系
本研究利用去核糖体rRNA的转录组测序方法,检测了线虫衰老过程中全局circRNA的表达谱变化情况。鉴定出1166个circRNAs分子,其中575个是新发现的circRNAs。这些circRNAs来源于797个蛋白编码基因,这些基因分布不同功能区间,包括控制线虫寿命相关的基因。在线虫衰老的时间跨度上,一些circRNA差异表达明显有点达到40倍以上的差异,其中459个circRNA与其来源的宿主基因存在不同的表达模式,表明这些circRNA独立与宿主基因,可能别主动调控。

图注:高通量测序鉴定出1166个circRNA分子大部分来源于CDS区

图注:circRNA的qPCR和Northern blot鉴定

图注:线虫衰老过程中伴随多数circRNA的富集
5、circ-LDLRAD3是胰腺癌潜在的生物标记物
论文题目:Circular RNA circ-LDLRAD3 as a biomarker in diagnosis of pancreatic cancer
杂志:World Journal of Gastroenterology 影响因子3.37分
通讯作者单位:中国医科大学附属盛京医院
胰腺癌是常见的恶性程度很高的消化系统肿瘤,其在世界范围内的发病率呈逐年上升趋势,病死率已跃居所有肿瘤的前五位,中国排名第七,美国排名第五,5年生存率低于6%,因此早诊早治疗是攻克胰腺癌的迫切手段,本研究者在前期的研究中发现hsa_circ_0006988来源于LDLRAD3(低密度脂蛋白受体家族成员),在30对胰腺癌患者标本和31对胰腺癌患者血清标本中,PCR检测发现circ-LDLRAD3在胰腺癌中显著高表达,且与血管,淋巴侵袭和迁移显著相关,ROC曲线下面积0.67,提示circ-LDLRAD3可作为胰腺癌的诊断标志物。

图注:circ-LDLRAD3在胰腺癌临床组织标本和血液标本中显著高表达

图注:circ-LDLRAD3与CA19-9联合诊断ROC曲线下面积达到0.87
6、CircRNA可成为糖尿病视网膜疾病中的新型生物标志物
论文题目:Identification and Characterization of Circular RNAs as a New Class of Putative Biomarkers in Diabetes Retinopathy
杂志:Investigative Ophthalmology & Visual Science December 影响因子:3.3分
通讯作者单位:上海复旦大学眼科研究所
本研究关注糖尿病视网膜疾病中的circRNA表达谱和临床意义,circRNA芯片检测发现529个circRNA分子发现差异表达,其中Circ_0005015在糖尿病视网膜患者的血样、眼睛玻璃体和纤维血管膜样本中显著高表达,进一步实验表明Circ_0005015可竞争性结合miR-519d-3p增加MMP-2,XIAP和STAT3的表达水平,进而调节内皮细胞增殖、迁移和管状形成,促进了视网膜内皮血管生成功能。

图注:circRNA微阵列和PCR实验证明Circ_0005015等circRNA在DR病人中高表达。

图注:敲低Circ_0005015分子可降低HRVECs细胞的脉管形成能立
7、非编码RNA在胆管癌中研究综述
论文题目:NcRNAs and Cholangiocarcinoma
杂志:Journal of Cancer 影响因子2.92分
通讯作者单位:哈尔滨医科大学附属附属医院
胆管癌(CCA)是最常见的原发性胆道恶性肿瘤,预后较差。对其病因和发病机理的了解较少,使诊断和治疗变得困难。近年来,越来越多的证据表明,非编码RNA(ncRNAs)与CCA的发病机理密切相关。缺乏开放阅读框架的ncRNAs主要包括miRNA、长非编码RNA和环状RNA。几项研究表明,ncRNAs的失调是在CCA发生的常见的重要事件,并且有可能成为治疗靶点。此外,ncRNAs可以很容易地在癌症组织和体液中检测到,是非常有潜力的诊断标志物。此综述中,作者阐述了ncRNA在CCA中的作用,并讨论了其潜在的临床价值。CircRNA在胆管癌中的作用机制研究稍少,Kulcheski 等研究报道ciR-SRY/miR-138/RhoC可能在CCA中起到重要作用。

图注:胆管癌CCA中主要失调控的miRNAs分子列表
8、内鞘磷脂合成酶基因相关circRNA在大鼠大脑发育阶段特异性表达研究
论文题目:Developmental stage-specific expression of genes for sphingomyelin synthase in rat brain
杂志:Cell and Tissue Research 影响因子2.79分
通讯作者单位:俄罗斯科学院分子遗传学研究所
细胞内的鞘磷脂合成酶Sphingomyelin synthase(SMS)的活性主要由两种酶提供的:鞘磷脂合成酶1(SMS1)和鞘磷脂合成酶2(SMS2)。 他们催化了由磷脂酰胆碱和神经酰胺合成鞘磷脂和二酰甘油, 该酶在细胞膜运输,细胞增殖和凋亡等生物学过程中起重要作用, 脂质代谢的重要参与者。

图注:sgms1和sgms2基因结构示意图已经PCR引物设计位置

图注:sgms2的circRNA结构和表达分析

图注: Sgms1 circSgms1_2–5 circRNA和sgms1和sgms2 mRNA在大鼠大脑胚胎发育中的表达趋势图
9、circDOCK1 (circ_100721)在口腔鳞癌中通过miR196a5p/BIRC3抑制细胞凋亡
论文题目:CircDOCK1 suppresses cell apoptosis via inhibition of miR196a5p by targeting BIRC3 in OSCC
杂志:oncology reports 影响因子2.66分
通讯作者单位:广州医科大学口腔医院
口腔鳞癌(oral squamous cell carcinomas OSCC)是口腔颌面部常见的恶性肿瘤之一,发病率约占口腔颌面部恶性肿瘤的80%以上,研究者通过人重组TNF-α因子处理OSCC细胞48小时,构建口腔鳞癌细胞凋亡模型。运用circRNA芯片筛查凋亡相关的差役表达circRNA分子。挑选10个差异表达的circRNA进行PCR验证,siRNA敲低circDOCK1后可增加细胞凋亡,进一步通过生物信息学预测circDOCK1可能通过miR-196a-5p/BIRC3信号轴发挥功能。

图注:高通量筛选差异表达的circRNA分子

图注: circDOCK1 (circ_100721)在口腔癌细胞和临床组织标本中高表达
10、circRNA_Atp9b和miR-138-5P在骨关节炎细胞模型中的表达影响
论文题目:Circular RNA Atp9b, a competing endogenous RNA, regulates the progression of osteoarthritis by targeting miR-138-5p
杂志:gene 影响因子2.42分
通讯作者单位:上海长征医院
Osteoarthritis (OA) 骨性关节炎为一种退行性病变,系由于增龄、肥胖、劳损、创伤、关节先天性异常、关节畸形等诸多因素引起的关节软骨退化损伤、关节边缘和软骨下骨反应性增生,又称骨关节病、退行性关节炎、老年性关节炎、肥大性关节炎等
研究者在前期的IL-1β诱导小鼠软骨细胞模型中发现,环形RNA分子circRNA_Atp9b (circ_15898, theRNA-seq,GSE107009)显著上调,敲低circRNA_Atp9b后可抑制MMP13, COX-2 和IL-6的表达水平,上调Ⅱ型胶原蛋白增加,进一步研究发现circRNA_Atp9b可通过竞争性结合miR-138-5P参与OA胞外基质ECM代谢和炎症发生。

图注:circRNA_Atp9b在OA细胞模型中高表达

图注:circRNA_Atp9b和miR-138-5P影响MMP13, COX-2 和IL-6的表达水平
参考文献
- CircDOCK1 suppresses cell apoptosis via inhibition of miR?196a?5p by targeting BIRC3 in OSCC
- Circular RNA Atp9b, a competing endogenous RNA, regulates the progression of osteoarthritis by targeting miR-138-5p
- Circular RNA circ-LDLRAD3 as a biomarker in diagnosis of pancreatic cancer
- Circular RNA hsa_circ_0021001 in peripheral blood_ a potential novel biomarker in the screening of intracranial aneurysm
- Circular siRNAs for Reducing Off-Target Effects and Enhancing Long-Term Gene Silencing in Cells and Mice
- Computational Strategies for Exploring Circular RNAs
- Developmental stage-specific expression of genes for sphingomyelin synthase in rat brain
- Global accumulation of circRNAs during aging in Caenorhabditis elegans
- Identification and Characterization of Circular RNAs as a New Class of Putative Biomarkers in Diabetes Retinopathy
- NcRNAs and Cholangiocarcinoma
.png)