circRNA的应用很大程度上受两个因素影响:序列长度,影响生产效率;翻译能力,影响表达效率。此外,较长的circRNA序列还容易形成长双链RNA(dsRNA)结构,可能激活PKR,引发强烈自身免疫。因此,工程化circRNA需要寻求一种适当的方案,使circRNA编码不同大小的ORF,同时保持合适的circRNA大小。
缩短序列逐渐成为circRNA序列优化焦点,这一般通过优化ORF和翻译起始元件实现。此前,美国密歇根大学团队通过编码更小的抗原及选择较小的IRES,最大限度缩短circRNA肿瘤疫苗的序列,增加稳定性、减少免疫刺激(PKR激活)作用,从而实现有效的肿瘤免疫治疗。
推荐阅读:Nature子刊 | 小环状RNA疫苗:更短的序列,更强的疗效
然而,限制ORF,缩小了circRNA翻译的蛋白质的选择范围,也就限制了基于编码circRNA的应用范围。因此,翻译起始元件成为重要的优化选择。目前用于circRNA翻译起始的最常见元件是IRES,特别是病毒的IRES,但这些序列往往较长(600-1000 nt),高度结构化,且翻译起始效率取决于细胞类型和物种。
近日,罗马大学Irene Bozzonih和Gaia Di Timoteo团队在预印本bioRxiv上发表论文:A Short 63-Nucleotide Element Promotes Efficient circRNA Translation。研究鉴定出仅63nt的短元件(13-mer + UTR3),其驱动circRNA翻译的效率与长IRES相当,且长度优势显著。该元件应用在不同细胞类型和ORF中均表现稳定,为circRNA疗法提供了更灵活的设计空间,有望推动大分子或复杂蛋白质的circRNA药物开发。
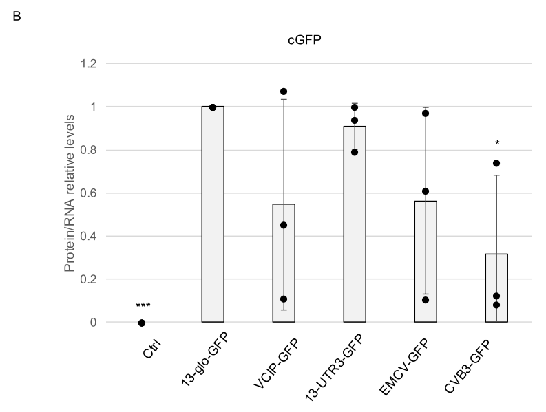
人IRES效果如何?
被验证的多种IRES中,EMCV和CVB3,分别来源于脑心肌炎病毒或柯萨奇病毒,是最常被描述和应用的两种。细胞mRNA也含有IRES元件,细胞结构化程度较低的IRES(二级结构会影响环化),有可能成为应用于circRNA的良好替代方案。
研究首先利用3×Flag-GFP ORF载体表达系统中比较了EMCV和CVB3与来自血管内皮生长因子和1型胶原诱导蛋白转录物(VCIP)的人IRES的效率。结果证明了VCIP IRES驱动GFP circRNA的翻译活性比EMCV和CVB3更有效。但较长的IRES显著增加二级结构形成,且长circRNA更容易产生切口,因此较长的IRES并不是最好的选择。
图1 A:cGFP构建体和相应的线性前体RNA的示意图;B:源自c-GFP翻译及其IRES突变体衍生物(VCIP、EMCV和CVB3)的相对蛋白表达水平。
一个63bp的元件兼备circRNA高翻译效率和短尺寸
翻译增强元件(TEE)是富含AUG三联体的5′ UTR序列,位于推定ORF的顺式上游,能够促进蛋白质产生。
一个非常短的序列(13nt,“13-mer”)是TEE中的特征性共同特征。为了进一步实现高翻译效率和小尺寸,研究采用TEE作为cGFP载体中的UTR,并选择不同的片段与起始密码子间隔开,以测试其驱动circRNA翻译的能力。结果显示13-glo间隔序列变体的翻译活性最高。
图2 A:VCIP、TEE及其衍生物的示意图;B:源自VCIP-cGFP翻译和所示cGFP突变体衍生物的相对蛋白质表达水平。
研究还考虑了翻译因子(如eIF4G、PABP)招募元件,以及内源性可翻译circRNA(circZNF609)的UTR序列作为间隔区序列,以进一步增强13-mer的性能。结果表明,circZNF609的UTR序列(UTR3)可驱动更高的蛋白表达水平,平均比13-glo高1.3倍,且比VCIP的性能更好。最后,研究得到一个非常短的翻译起始元件(63nt),由TEE中的13-mer和circZNF609的UTR3间隔区组成。该元件比常采用的较长IRES(600-800nt)更有效地驱动circRNA翻译,具有较高的生物学活性,且具有小尺寸的优势。
由13-mer起始的circRNA翻译也可以不影响circRNA大小的其它方法结合,例如滚动翻译、m7G帽的共价或非共价连接、RNA修饰(如m6A或N1甲基假尿苷),以释放circRNA作为治疗工具的潜力。
图2 A:13-glo及其间隔区变体的示意图;B:衍生自13-glo-cGFP及其指示的间隔区突变体衍生物的相对蛋白质表达水平。
应用于不同ORF和细胞类型不影响13-mer翻译效率
研究结果表明,13mer-UTR3的翻译起始效率不受ORF和circRNA表达的细胞类型的影响,但不排除进一步研究,设计组织特异性方式识别的circRNA翻译起始元件,以增强潜在circRNA药物的靶向性作用的可能性。
图3 A:源自c-ZNF609及其指定突变衍生物的相对蛋白质表达水平;B:源自c-GFP及其突变衍生物的相对蛋白质表达水平。
总结
基于circRNA疗法的优势已被众多研究验证,而circRNA药物的设计策略和生产工艺仍需进一步开发和完善。缩小环状RNA分子尺寸可有效降低合成成本、提升生产效率,并有望减少免疫原性风险。研究通过设计和验证得到63 nt的circRNA翻译起始元件,极大限度地缩短了circRNA序列长度,为编码序列释放更多空间,扩展了适合circRNA翻译蛋白范围,并拓宽了circRNA在疾病治疗中的应用前景。
作者提到,虽然该研究未使用高通量的筛选方法,但将来可能会使用高通量的方法,筛选更有效的元件,并进一步优化由13-mer驱动的circRNA翻译,如鉴定出能够进一步促进circRNA翻译的间隔区。
吉赛生物circRNA序列设计与优化平台,可提供翻译元件高通量筛选服务。利用核糖体新生肽链全长测序(Nanopore RNC-seq)可高通量筛选细胞中高活性的翻译元件,利用核糖体印迹测序(Ribo-seq)可进一步鉴定这些翻译元件的活性。结合多种高通量测序和生信分析技术,可以高效筛选出满足更短序列、更高活性、可驱动组织/细胞特异性翻译等不同需求的翻译元件,增加circRNA应用的更多可能性。
原文链接:
https://www.biorxiv.org/content/10.1101/2025.05.13.653105v2
.png)